撰文 | 马雪薇
编审 | 学术君
前言
根据世界卫生组织最新调查报告显示,2022年,估计有 2000 万新增癌症病例和 970 万死亡病例。癌症确诊后 5 年内存活的估计人数为 5350 万。大约五分之一的人在一生中罹患癌症,大约九分之一的男性和十二分之一的女性死于癌症。
2024 年 2 月 2 日,世界卫生组织国际癌症研究机构(IARC)最新发布的 Global cancer burden growing, amidst mounting need for services,预计 2050 年将有超过 3500 万新增癌症病例,比 2022 年的估计 2000 万例增加 77%。这再一次强调了目前日益加重的全球癌症负担,值得世界范围内的重视。
组织病理学图像评估是诊断癌症的一种有效的方法。近日,来自哈佛医学院的研究团队及其合作者提出了临床组织病理学成像评估基础(CHIEF)模型,用于提取病理成像特征以进行系统的癌症评估。
在包含 11 种癌症类型的 15 个数据集上,CHIEF 在癌症检测方面实现了近 94% 的准确率,显著优于当前的人工智能方法。在从独立队列收集的 5 个活检数据集中,CHIEF 在包括食道癌、胃癌、结肠癌和前列腺癌在内的多种癌症类型中达到了 96% 的准确率。当研究人员在以前从未见过的结肠、肺、乳腺、子宫内膜和子宫颈手术切除肿瘤的切片上测试 CHIEF 时,该模型的准确率超过 90%。
相关研究论文以“A pathology foundation model for cancer diagnosis and prognosis prediction”为题,已发表在权威科学期刊 Nature 上。

该研究的共同通讯作者、哈佛医学院助理教授 Kun-Hsing Yu 表示:“我们的目标是创建一个灵活、多功能的类似 ChatGPT 的人工智能 (AI)平台,可以执行广泛的癌症评估任务,我们的模型在与多种癌症的癌症检测、预后和治疗反应相关的多项任务中非常有用。”
研究人员指出,未来若对该方法进行进一步验证并广泛推广,将能够辨识出早期癌症患者。这些患者可能会从针对特定分子变异的实验性治疗中获益,这将有助于缩小全球范围内此类治疗在研发和应用方面的差距。
检测癌症的准确率高达 94%
CHIEF 是一个适用于弱监督组织病理学图像分析的通用机器学习框架。CHIEF 提取对癌症分类、肿瘤来源预测、基因组学预测和预后分析有用的病理成像表现。研究团队使用代表 19 个解剖部位的 60530 张全切片图像以弱监督的方式对 CHIEF 进行了预训练。
在预训练过程中,他们将全切片图像裁剪成不重叠的图像瓦片,并使用对比语言-图像预训练(CLIP)嵌入方法编码每个全切片的解剖部位信息,以获得每个解剖部位的特征向量。他们将文本和图像嵌入合并,以表示来自训练数据的异质病理信息。然后,使用 CHIEF 提取的病理成像特征直接推断癌症类型。在基因组学预测和预后预测任务中,CHIEF 特征作为为每个特定任务微调模型的基础。

图 | CHIEF 模型概述。
CHIEF 在这些任务中的表现比最先进的深度学习方法高出多达 36.1%。平均来说,CHIEF 的表现比传统方法高出 9%。

图 | CHIEF 在癌症分类、基因组学识别和生存预测任务中显著优于最先进的方法。
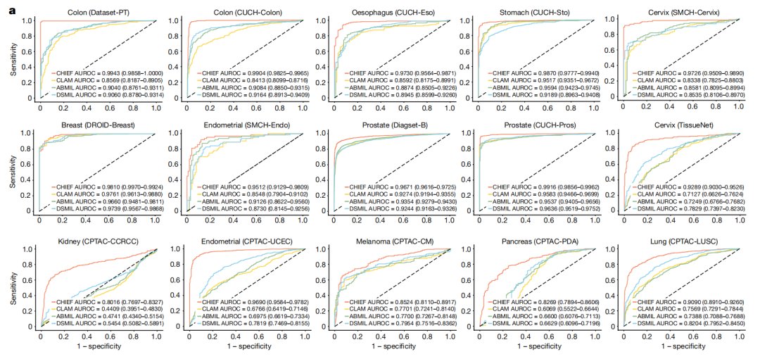
CHIEF 模型在病理图像分析中展现出强大的通用性和泛化能力,能够在多种癌症类型中应用于多种病理评估任务,其中包括癌症检测、肿瘤来源预测、基因组特征预测以及生存预测。
CHIEF 在代表 11 种癌症类型的 15 个数据集上实现了 0.9397 的宏观平均受试者操作特征曲线下面积(AUROC),比现有的三种深度学习方法均高出 10% 及以上。在从独立队列收集的所有五个活检数据集中,CHIEF 在包括食管、胃、结肠和前列腺在内的几种癌症类型中的 AUROCs 均大于 0.96。在使用涵盖五种癌症类型(即结肠、乳腺、子宫内膜、肺和宫颈)的七个手术切除切片集进行独立验证时,CHIEF 的 AUROCs 大于 0.90。这些结果证明了CHIEF在国际上不同来源的多样化癌症组织和样本中的泛化能力。

图 | CHIEF 的表现优于最先进的深度学习方法。
AI 正帮助人类攻破癌症
在医疗健康领域, AI 正逐渐展现出其独特的价值;特别是在癌症的早期筛查和检测方面,AI 技术的应用正日益成为攻克这一难题的关键力量。层出不穷的研究成果不断推动着这一领域的快速发展。
今年 6 月,伦敦帝国理工学院与剑桥大学的研究团队联合训练出一种新型 AI 模型——EMethylNET。该模型通过分析 DNA 甲基化模式,能够在非癌变组织中准确识别出 13 种不同类型的癌症,包括乳腺癌、肝癌、肺癌和前列腺癌等,其检测准确率高达 98.2%,为早期癌症的发现提供了强有力的技术支持。
7 月,哈佛医学院的研究团队与合作伙伴共同开发了一款针对人类病理学领域的视觉语言通用 AI 助手——PathChat。该系统在处理活检切片时,能够正确识别疾病的准确率达到近 90%,其性能超越了当前市场上的通用 AI 模型如 GPT-4V 以及专业医疗模型。相关研究论文已发表在科学期刊 Nature 上。
此外,有研究团队致力于利用 AI 技术操控细胞命运,实现了将癌细胞转化为免疫细胞的突破。今年 8 月,南加州大学(USC)凯克医学院的学者们在美国国立卫生研究院(NIH)的资助下,开展了一项创新研究。他们利用 AI 识别并重新编程胶质母细胞瘤细胞的基因,将其转变为具有抗癌能力的树突状细胞,有效地瞄准并摧毁周围的癌细胞。在胶质母细胞瘤小鼠模型中,这一方法显著提高了 75% 的生存机会,为癌症治疗提供了新的视角。
与此同时,考虑到药物耐受性问题,有研究团队将焦点转向转移性癌症,利用 AI 技术开发出个性化的癌症治疗策略。今年 6 月,来自牛津大学等研究机构的科学家们通过跨学科联合研究,引入了一种新型框架,该框架能够应用深度强化学习为前列腺癌患者制定适应性治疗计划。研究结果显示,与依赖最大耐受剂量或非个性化间歇治疗相比,这种新型适应性方法能显著延长患者无复发的时间,最长可达两倍,为个性化癌症治疗开辟了新路径。
或许在不远的将来,人类在 AI 的帮助下,从此不再谈“癌症”色变。
